
A wentletrap. Colorized from Webster's New
International Dictionary of the English Language,1911, (reference).
For a discussion of some of the places they pop up in nature see http://www.mcs.surrey.ac.uk/Personal/R.Knott/Fibonacci/fibnat.html#spiral .
For some of their appearances in art, architecture and music, see http://www.mcs.surrey.ac.uk/Personal/R.Knott/Fibonacci/fib.html
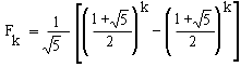
The ratio of successive Fibonacci numbers converges to a special number, f=
, with the kth
Fibonacci, being expressible in closed form as
.